Библиотека документов по правам человекаБиблиотека
по правам человека
Поиск по названию
RU
Язык
  • Главная
  • FAQ
  • О библиотеке
  • Контакты
  1. Главная
  2. РГ по произвольным задержаниям

Исследования

Документы

Заключения

Мнения

Доклады


Document

1993 Резолюция Комиссии по ПЧ 1993-36 Вопрос произвольных задержаний (en)

Document

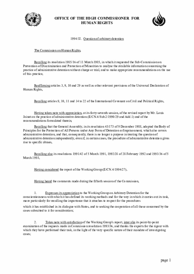
1994 Резолюция Комиссии по ПЧ 1994-32 Вопрос произвольных задержаний (en)

Document

1994 Резолюция ЭКОСОС 1994-279 Вопрос произвольных задержаний (en)

Document

1995 Резолюция Комиссии по ПЧ 1995-59 Вопрос произвольных задержаний (en)

Document

1996 Резолюция Комиссии по ПЧ 1996-28 Вопрос произвольных задержаний (en)

Document

1996 Резолюция ЭКОСОС 1996-284 Вопрос произвольных задержаний (en)

Document

1997 Резолюция Комиссии по ПЧ 1997-50 Вопрос произвольных задержаний (en)

Document

1997 Резолюция ЭКОСОС 1997-260 Вопрос произвольных задержаний (en)

Document

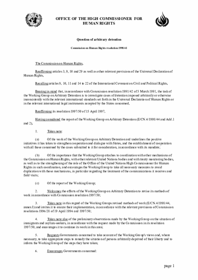
1998 Резолюция Комиссии по ПЧ 1998-41 Вопрос произвольных задержаний (en)

Document

1999 Резолюция Комиссии по ПЧ 1999-37 Вопрос произвольных задержаний (en)

Document

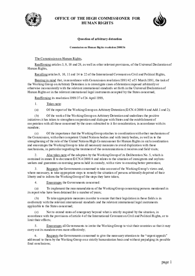
2000 Резолюция Комиссии по ПЧ 2000-36 Вопрос произвольного задержания (en)

Document

2000 Резолюция ЭКОСОС 2000-263 Вопрос произвольных задержаний (en)

Document

2001 Резолюция Комиссии по ПЧ 2001-40 Вопрос произвольного задержания (en)

Document

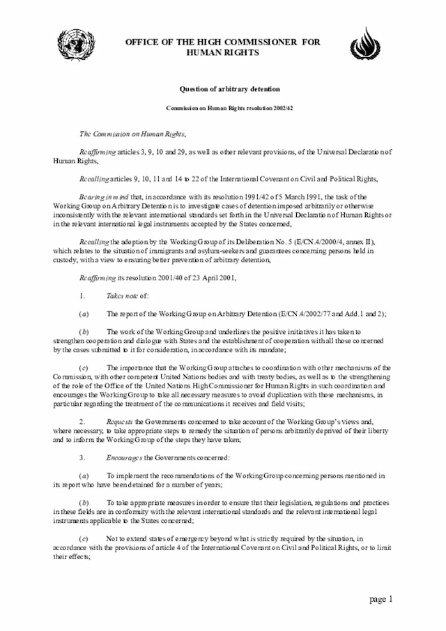
2002 Резолюция Комиссии по ПЧ 2002-42 Вопрос произвольного задержания (en)

Document

2003 Резолюция Комиссии по ПЧ 2003-31 Вопрос произвольного задержания (en)

© 2024 HRLib

  • Файлы
  • О нас
  • FAQ
  • Контакты